PDF Processor
Inicio
Editar documento
Editar documento: 6. Intoxicación Por Benzodiacepinas
Título
Contenido mejorado
Contenido original
Contenido mejorado por IA (Markdown)
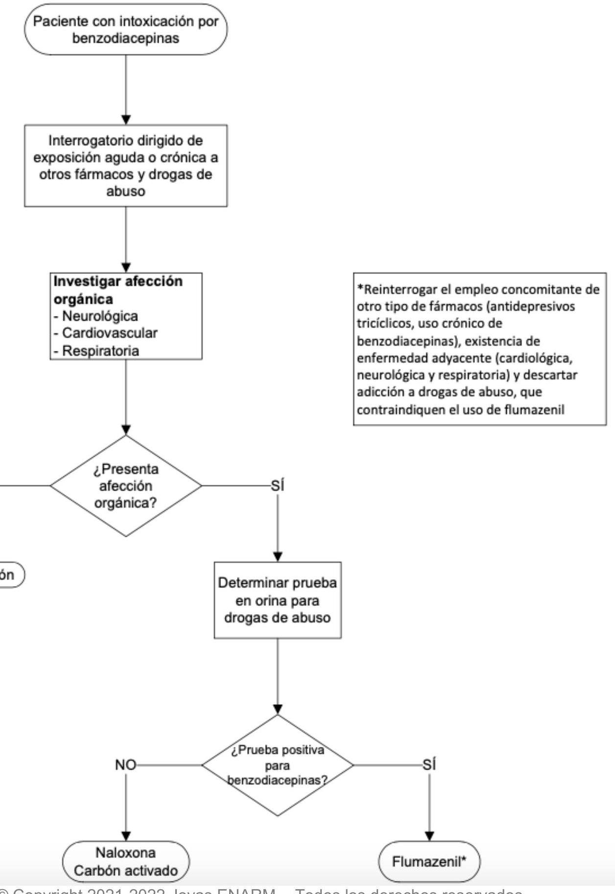
# INTOXICACIÓN POR BENZODIACEPINAS DEFINICIÓN Las **Benzodiacepinas** son fármacos **hipnótico-sedantes** y tienen múltiples aplicaciones (tratamiento de **insomnio**, **neurológico**, **psiquiátrico**, **trastornos musculares**, **medicación preanestésica**). Los efectos tóxicos pueden ocurrir en **sobredosis** o en **dosis terapéutica** que se potencie por la interacción con otros fármacos y también debido a atributos del paciente como **edad**, **sexo** o **nutrición**. ## ENVENENAMIENTO Las **benzodiacepinas** tienen la capacidad específica de unirse a los receptores en el **canal ion cloruro** del **Ácido Gama-aminobutírico (GABA)** y potencian la inhibición del **neurotransmisor GABA**. - Alprazolam - Clonazepam - Diazepam - Midazolam ## EPIDEMIOLOGÍA - Las **Benzodiacepinas** se lanzaron al mercado de la terapéutica en 1960. - Su **prescripción médica** ha facilitado una fácil accesibilidad a estos fármacos. - En la actualidad existe una amplia difusión de estas **sustancias psicoactivas** y se pueden obtener con o sin receta, lo que las convierte en **sustancias adictivas**. - El uso de ellas puede ser factor de riesgo de **DEMENCIA** en personas adultas mayores (**evitar** en esta población). ## CLÍNICA ## EFECTOS TÓXICOS: - Somnolencia - Debilidad Generalizada - Hiporreflexia - Ataxia - Disartria - Nistagmo - Deterioro de Conciencia ## EXPLORACIÓN FÍSICA: - Hipotermia - **Depresión neurológica** - **Depresión respiratoria** ## CUADRO GRAVE: - Taquicardia - Hipertensión - Hipotensión - Agitación psicomotriz - Coma - Muerte # DIAGNÓSTICO ## ELISA - Puede determinar **cualitativamente** la presencia de **benzodiacepinas** en la **orina**. ## CROMATOGRAFÍA - Determina **cuantitativamente** en **orina y sangre** a través de **espectrofotometría de masas**. ## TRATAMIENTO ## SOPORTE VITAL BÁSICO - **Vía aérea**, **soporte respiratorio** y **circulación**. - No inducir el vómito (conlleva a riesgo de broncoaspiración). - **NO** hacer lavado gástrico. - **NO** usar carbón activado en casa (se desconoce el estado clínico del paciente). - **CARBÓN ACTIVADO**: - Indicado ante la sospecha de **intento suicida** o con probable ingesta de otro tipo de fármacos. - Dosis de 1 g/Kg/dosis diluido en 1 g de Manitol cada 4 horas durante 24 horas. ## MANEJO ESPECÍFICO Para decidir el uso del antídoto, se debe indagar el empleo concomitante de otro tipo de **fármacos** (**antidepresivos tricíclicos**, **uso crónico** de **Benzodiacepinas**), enfermedades concomitantes, descartar **adicción a drogas**. ## 1ra elección: FLUMAZENIL Es seguro y eficaz, incluso en la **población pediátrica**, donde no hay contraindicación. Se debe indicar **SOLAMENTE** si presenta datos de **depresión respiratoria** para evitar la intubación. ## DOSIS ADULTOS - Dosis Inicial: 0,1-0,3 mg IV durante 30 segundos. - Infusión continua: 0,3-0,5 mg/h (intoxicación pura) y >1 mg/h (intoxicación mixta). - Dosis máxima de 2-5 mg (la intoicación pura requiere <1 mg y la mixta requiere hasta 2 mg). ## NEONATOS Y PEDIÁTRICOS Dosis inicial: 10-20 mcg/kg. La re-sedación en pediátricos se previene administrando la dosis inicial efectiva o una tasa de infusión de 10-50 mcg/kg/h, ajustándola al peso corporal y efectos clínicos. # ALGORITMO BENZODIACEPINAS 
Vista previa
Contenido original (Markdown)
# INT0XICACIÓN POR BENZODIACEPINAS DEFINICION Las Benzodiacepians son fármacos hipnótico-sedantes y tienen múltiples aplicaciones (tratamiento de isnomnio, neurológico, pisquiátrico, trastornos musculares, medicación preanestésica), Los efectos tóxicos pueden ocurrir en sobredosis o en dosis terapéutica que los potencie por la interacción con otros fármacos y también debido a atributos del paciente como edad, sexo o nutrición ## ENVENENAMIENTO Las benzodiacepinas tienen la capacidad específica de unirse a los receptores en el canal ion cloruro del Ácido Gama Aminobutírico (GABA) y potencializan la inhibición del Neurotransmisor el GABA. - Alprazolam - Clonazepam - Diazepam - Midazolam ## EPIDEMIOLOGÍA - Las Benzodiacepinas se lanzaron en 1960 al mercado de la terapéutica. - Su preescripción médica ha desarrollado una fácil accesibilidad a estos fármacos. - En la actualidad existe una amplia difusión de estas sustancias psicoactivas y se pueden obtener con o sin receta, lo que convierte una sustancia adictiva. - El uso de ellas puede ser factor de riesgo de DEMENCIA en personas adultos mayores (evitar en esta población). ## CLÍNICA ## EFECTOS TÓXICOS: - Somnolencia - Debilidad Generalizada - Hiporreflexia - Ataxia - Disartria - Nistagmus - Deterioro Conciencia ## EXPLORACIÓN FÍSICA: - Hiptermia - Depresión neurológica - Derpresión respiratoria ## CUADRO GRAVE: - Taquicardia - Hipertensión - Hipotensión - Agitación psicomotriz - Coma - Muerte # DIAGNÓSTICO ## ELISA - Puede determinar cualitativamente la presencia de benzodiacepinas en la orina. ## CROMATOGRAFÍA - Determina cuantitativamente en orina y sangre a través de especrofotometría de masas. ## TRATAMIENTO ## SOPORTE VITAL BÁSICO - Vía Aérea, soporte respiratorio y circulación. ⌀ No inducir el vómito (conlleva a riesgo de broncoaspiración) ⌀ NO hacer lavado gástrico ⌀ NO usar carbón activado en casa (se desconoce el estado clínico del paciente) - CARBÓN ACTIVADO: - Indicado ante la sospecha de intento suicida y con probable ingesta de otro tipo de fármacos. - Dosis de 1 ~g / Kg / dosis diluido en 1 g de Manitol cada 4 horas durante 24 horas. ## MANEJO ESPECÍFICO Para decidir el uso del antídoto, se debe interrogar el empleo concomitante de otro tipo de fáramacos (antidepresivos tricíclicos, uso crónico de Benzodiacepinas), enfermedad adyacente, descartar adicción a drogas. ## 1ra elección: FLUMAZENIL Es seguro y eficaz, incluso en la población pediátrica en donde no hay contraindicación. Se debe indicar SOLAMENTE si presenta datos de depresión respiratoria para evitar la intubación. ## DOSIS ADULTOS - Dosis Inicial: 0.1-0.3 IV durante 30 segundos - Infusión continua: 0.3-0,5 mg / h (itoxicación pura) y >1 mg / h (intoxicación mixta) - Dosis máxima de 2-5 mg (intoicación pura requiere <1 mg y la mixta requiere hasa 2 mg ). ## NEONATOS Y PEDIÁTRICOS Dosis inicial: 10-20 mcg / kg La re-sedación en pediátricos se previene administrando la dosis inicial efectiva o una tasa de infusión de 10 50 mcg / kg / h ajustandolo al peso coroporal y efectos clínicos. # ALGORITMO BENZODIACEPIANS 
Vista previa
Cancelar
Guardar cambios